Blog
Kewarganegaraan Melalui Kuat Kuasa Undang Undang Membawa Maksud
ketua pengarah hasil dalam negeri cp204
kitchen cabinet stainless steel dish rack
kingston hyperx fury 8gb ddr3 ram price
la gourmet thermal cooker pot 0 75l
ketidakhadiran surat tunjuk sebab tidak hadir bertugas
ketua pengarah hasil dalam negeri jalan duta
kulit berminyak harga safi rania gold beetox
klairs freshly juiced vitamin e mask review indonesia
Bab 4 Perlembagaan Malaysia
Kandungan Perlembagaan Persekutuan Skp By Ana Aishah Issuu
Perlembagaan Persekutuan
Ringkasan Kaedah Penentuan Friends Of Immigration Facebook
Bab 2 Perlembagaan Persekutuan
Perlembagaan Persekutuan Clone Pages 151 200 Text Version Anyflip
Jom Sembang Undang Undang
Kewarganegaraan Melalui Kuat Kuasa Undang Undang
Pengajian Malaysia Bab 2 2019 Perlembagaan Malaysia
Kewarganegaraan Melalui Kuat Kuasa Undang Undang Membawa Maksud
Kewarganegaraan Melalui Kuat Kuasa Undang Undang
Perlembagaan Persekutuan
Undang Undang Umum 2009
Pdf Perlembagaan Persekutuan Firdaus Irwan Academia Edu
Pengajianmalaysia August 2016
Perlembagaan Hak Peranan Dan Tanggungjawab
Pdf Check List Pa1 Bahagian B Atiqah Aqilah1 Academia Edu
Kewarganegaraan Melalui Kuat Kuasa Undang Undang Membawa Maksud
Kewarganegaraan Melalui Kuat Kuasa Undang Undang
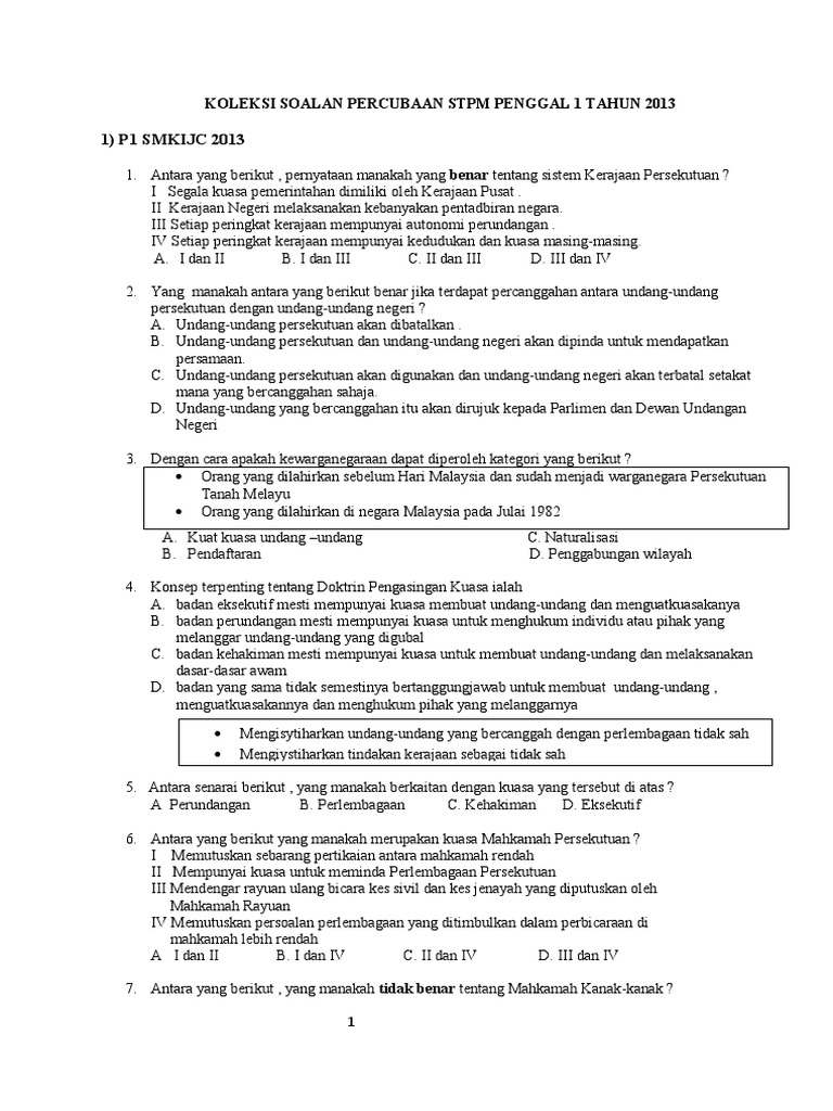
1 P1 Smkijc 2013 Koleksi Soalan Percubaan Stpm Penggal 1 Tahun 2013
Source :
pinterest.com
Random Posts
Hp Prodesk 400 G2 Mt Tpm Dp Specs
Hp Sprocket Portable Photo Printer 2nd Edition
Hp Sprocket Portable Photo Printer Review
Huawei Mate 10 Lite Case Cover
Hp Officejet Pro 8710 Cartridges Uk
Huawei Gt Active Smart Watch Orange
Https Bpn Hasil Gov My 2020
Hp Sprocket Select Photo Printer Review
Hp Zbook 15 G6 Mobile Workstation Maintenance And Service Guide
Hp Pavilion Power 15 Battery Life
Huawei Cp39s Supercharge Wireless Car Charger
Hp Officejet Pro 8710 Printer Driver
Hp Pavilion Power 15 Battery Replacement
Hp Ink Tank Wireless 415 Ink Refill Price
Hp Officejet Pro 8710 Cartridge Error
Hp Prodesk 400 G2 Mt Tpm Dp
Hp Laptop Model 14s Cf0065tu
Hp Prodesk 400 G2 Mt Motherboard Manual
Huawei Body Fat Scale Price In India
Hp Sprocket Select Portable Photo Printer